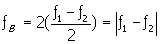
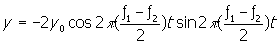
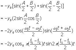
-----------------(78)

และ     -----------------(79)


Prev Home Next
เสียง   ปรากฏการณ์ดอปเปลอร์

315 102, 315 103 ฟิสิกส์พื้นฐาน (ผศ.ณรงค์  พิศขุมทอง)

Suggestion and comment send to the WEBMASTER
Maintained and Design by Electronics Laboratory, Department of Physics, Faculty of Science,
Khonkaen University, Thailand.