12.2. สมการการเคลื่อนที่ของคลื่น
ฟังก์ชัน y = f(x) แทนลักษณะของคลื่น
ถ้าแทนxด้วย(x-a)จะได้ฟังก์ชั่นไหม่คือ y = (x-a) -------------------(16)
ถ้าแทนxด้วย(x+a)จะได้ฟังก์ชั่นใหม่ คือ y = (x+a) ----------------(17)
ถ้ากราฟเคลื่อนที่ด้วยอัตราเร็ว v ภายในเวลา t จะได้ว่าa = vt -----------------------------(18)
ดังนั้นสมการ(16)กลายเป็น y = (x-vt) ------------------------(19)
และสมการ(17)กลายเป็น y = (x+vt) -----------------------(20)
y(x,t) = (x±vt)--------(21)
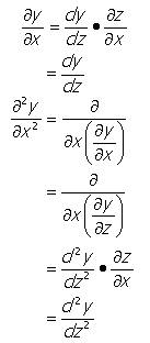
กำหนดให้ z = x±vt----------------(22)
จากสมการ(23)สามารถหาสมการของคลื่นได้ดังนี้

---------------------------(24)
----------------------------(25)

-------------------(26)
---------(27)จากสมการ(25)และ(27)จะได้ว่า
-------------------------(28)
สมการ(28)เรียกว่า สมการคลื่น
รายของสมการ(28)คือ y(x,t) = 1(x-vt)+1(x+vt)-----------(29)
สมการ(29)ใช้กับคลื่นรวม2คลื่นซึ่งเคลื่อนที่สวนทางกัน แต่ถ้ามีเพียงคลื่นเดียว ฟังก์ชั่นอันใดอันหนึ่งจะหายไปปริมาณ y(x,t) เรียกว่า ฟังก์ชั่นคลื่น(Wave Funtion)
y(x,t) = y0sin k(x-vt) ----------------------(30)
โดยที่ y0 คือ อัมปลิจูดซึ่งมีค่าคงที่
k คือ ค่าคงที่
ถ้าแทนที่xด้วย
จะได้ว่า
![]()
-----------------(31)
จากสมการ(31)คือ
จะได้ว่า
------------------------------(32)
หรือ
-----------------------------------(33)
ค่า k เรียกว่า ค่าคงตัวของการเคลื่อนที่(Propagation Constant)หรือเลขคลื่น(Wave Number)หมายถึงจำนวนคลื่นในระยะทางหนึ่งหน่วย มีหน่วยเป็นm-1
จากสมการ(30)คือ y(x,t) = y0sin k (x-vt)
แทนค่า
จากสมการ(33)ลงในสมการ(30)ได้เป็น
----------(34)
หรือ
-----------(35)
หรือ
-------------(36)
สำหรับคลื่นที่เคลื่อนที่ไปทางซ้าย จะได้เป็น
----------(37)
หรือ
----------(38)
หรือ
-------------(39)
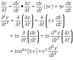
จากสมการ(30)คือ
![]()
ความเร็วของอนุภาคตัวกลาง หาได้ดังนี้
--------(40)
ความเร่งของอนุภาคตัวกลาง หาได้ดังนี้
---------------(41)
---------------(42)
315 102, 315 103 ฟิสิกส์พื้นฐาน (ผศ.ณรงค์ พิศขุมทอง)
Suggestion and comment send to the
WEBMASTER
Maintained and Design by Electronics Laboratory,
Department of Physics, Faculty of Science,
Khonkaen University, Thailand.