12.3 คลื่นตามขวาง
คลื่นตามขวาง เป็นคลื่นเมื่อส่งผ่านตัวกลางไปจะทำให้โมเลกุลของตัวกลางออสซิลเลตในแนวตั้งฉากกับทิศทางการเคลื่อนที่ของคลื่นนั้นความเร็วของคลื่นตามขวาง
แรงตามแนวแกนyคือ
------------------(43)
------------------(44)
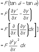
แรงตามแนวแกน y คือ
------------------(43)
------------------(44)
แรงผลลัพท์ตามแนวแกน y คือ
---------(45)
แต่
เป็นมุมเล็กๆ ดังนั้น
และ
สมการ(45)กลายเป็น
---------------(46)
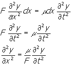
กำหนดให้
เป็นความหนาแน่นตามเส้นมวลของเส้นเชือกในช่วงdxคือ
---------------------(47)
จากกฏข้อ 2 ของนิวตัน จะได้ว่า
-------------------(48)
จากสมการของคลื่น คือ
-----(49)
สมการ(48)และ(49)เทียบกัน จะได้เป็น
หรือ
-----(50)
315 102, 315 103 ฟิสิกส์พื้นฐาน (ผศ.ณรงค์ พิศขุมทอง)
Suggestion
and comment send to the
WEBMASTER
Maintained and Design by Electronics Laboratory, Department
of Physics, Faculty of Science,
Khonkaen University, Thailand.