| บทที่ 12 การเคลื่อนที่แบบคลื่น | ||
|---|---|---|
| Prev | GENERAL PHYSICS | Next |
12.4 คลื่นตามยาว
คลื่นตามยาวเป็นคลื่นซึ่งเมื่อเคลื่อนที่ผ่านวัตถุใด จะทำให้อนุภาคของวัตถุนั้นออสซิลเลตในแนวเดียวกันกับทิศที่คลื่นเคลื่อนที่
ทำให้เกิดบริเวณที่มีความดันสูง และต่ำกว่าความดันสมดุลย์สลับกันในตัวกลางนั้น บริเวณที่มีความดันสูงเรียกว่า ส่วนอัด
ส่วนบริเวณที่มีความดันต่ำเรียกว่า ส่วนขยาย
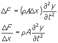
ความเร็วของคลื่นตามยาว
จากรูป จะได้ว่า
---------------(51)
ให้
สมการ(51)กลายเป็น
หรือ
----------------(52)
กำหนดให้
เป็นความหนาแน่นของวัตถุ ดังนั้น มวลของส่วน PQ คือ
------------------(53)
จากกฏข้อ2ของนิวตัน จะได้ว่า
--------------------(54)
ถ้า
จะได้ว่า
----------------(55)
จากสมการ
หรือ
------------------(56)
จากสมการ(55)คือ
และสมการ(56)จะได้ว่า
--------(57)
เทียบกับสมการคลื่น คือ
จะได้ว่า
-----------------------(58)
ในกรณีที่มีการเปลี่ยนปริมาตร เช่น ของไหล ความเร็วของคลื่นจะขึ้นอยู่กับบัลค์โมดูลัส ตามสมการ
-------------------(59)
ในกรณีของก๊าซ พบว่าก๊าซมีสมบัติที่ถูกอัดให้มีปริมาตรเล็กลงได้ดีกว่าของแข็งและของเหลวเมื่อความดันของก๊าซเปลี่ยนแปลงเล็กน้อยจะทำให้ความหนาแน่นเปลี่ยนได้
สำหรับก๊าซในอุดมคติขณะที่อยู่ในกระบวนการอะเดียเบติก จะได้ว่า
หรือ
-----------------(60)
จาก
------------------(61)
จากสมการ(60)และ(61)จะได้ว่า
------------(62)
แทนค่า B จากสมการ(62)ลงในสมการ(95)ได้เป็น
---------------------------(63)
จากกฏของก๊าซ คือ PV = nRT =
-----------(64)
ดังนั้น
-------------(65)
จากสมการ(63) คือ
และสมการ(85)จะได้ว่า
---------------------------------(66)
ถ้า y =1.4 , R=8.314Jmole-1K-1,T=273+t
และ M=29
10-3kgmole-1
สมการ(66)กลายเป็น v = 331+0.6t m/s----------(67)
315 102, 315 103 ฟิสิกส์พื้นฐาน (ผศ.ณรงค์ พิศขุมทอง)
Suggestion and comment send to the
WEBMASTER
Maintained and Design by Electronics Laboratory,
Department of Physics, Faculty of Science,
Khonkaen University, Thailand.