ถ้าคลื่นเสียง 2 ขบวนมีอัมปลิจูดเท่ากัน แต่มีความถี่ต่างกันเล็กน้อยเคลื่อนที่ผ่านจุดๆหนึ่งจะเข้ารวมกัน
ผลของการรวมกันจะทำให้ผู้ฟังได้ยินเสียงดังแล้วค่อยสลับกันเป็นจังหวะๆ
กำหนดให้คลื่น2ขบวนเป็น
---------------(76)
-----------------(77)
เนื่องจากเราพิจารณาที่ตำแหน่งใดตำแหน่งหนึ่ง ดังนั้น x จึงมีค่าคงที่
กำหนดให้ x = 0 สมการ(76)และ(77)กลายเป็น
-----------------(78)
และ
-----------------(79)
คลื่นรวม คือ
-------------------(80)
กำหนดให้
----------(81) และ
------------(82)
ดังนั้น
-------------(83) และ
------------(84)
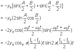
จากสมการ(83)และ(84)ทำให้สมการ(80)เป็น
จาก
ได้เป็น
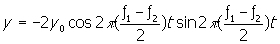
--------------------(85)
โดยที่
--------------------(86)
จากสมการ(86)จะเห็นว่าอัมปลิจูดของคลื่นรวมเปลี่ยนค่าตามเวลาด้วยความถี่) ทำให้เราได้ยินเสียงดัง 2 ครั้ง
และเงียบ 2 ครั้ง ในหนึ่งรอบของการเปลี่ยนแปลงอัมปลิจูด
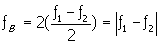
ดังนั้น ความถี่ของเสียงบีตส์ คือ
-----------(87)
โดยทั่วไป คนเราจะได้ยินเสียงบีตส์ไม่เกิน 7 ครั้งในหนึ่งวินาที
315 102, 315 103 ฟิสิกส์พื้นฐาน (ผศ.ณรงค์ พิศขุมทอง)
Suggestion and comment send to the
WEBMASTER
Maintained and Design by Electronics Laboratory,
Department of Physics, Faculty of Science,
Khonkaen University, Thailand.