| บทที่ 12 การเคลื่อนที่แบบคลื่น | ||
|---|---|---|
| Prev | GENERAL PHYSICS | Next |
12.6.2. ปรากฏการณ์ดอปเปลอร์(Doppler Effect)
ปรากฎการณ์ดอปเปลอร์เกินขึ้นเมื่อต้นกำเนิดคลื่นและผู้สังเกตมีการเคลื่อนที่สัมพัทธ์กัน ความถี่ของคลื่นที่ปรากฏต่อผู้สังเกตจะต่างไปจากความถี่ของคลื่นที่ส่งออกมาจากต้นกำเนิด
สาเหตุที่เกิดปรากฎการณ์ดอปเปลอร์ของคลื่นเสียงมี 2 ประการคือ
1. ความยาวคลื่นของคลื่นเสียงเปลี่ยนไปเนื่องจากต้นกำเนิดเสียงเคลื่อนที่
2. ผู้ฟังจะได้รับคลื่นเสียงที่เปลี่ยนแปลง ทำให้ความถี่ของคลื่นเสียงที่ปรากฏเปลี่ยนไป
เมื่อแหล่งกำเนิดเสียง
s เคลื่อนที่
vs เป็นความเร็วของแหล่งกำเนิดเสียง s
s เป็นความถี่จากแหล่งกำเนิดเสียง s
v เป็นความเร็วของเสียงในอากาศ
ดังนั้น ในช่วงเวลา t แหล่งกำเนิดเสียง s
เคลื่อนที่ได้ = vst
และคลื่นเสียงที่ได้ = vt
และกำเนิดเสียงส่งคลื่นออกมา
จำนวนst = ลูกคลื่น
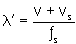
ความยาวคลื่นด้านหน้า![]()
![]()
------------------(88)
ความยาวคลื่นด้านหลัง![]()
![]()
-------------------(89)
ความถี่ของเสียงที่ผู้ฟัง L ได้ยิน(L)

ผู้ฟัง L เคลื่อนที่ออกจาก s ด้วยความเร็ว![]()
ผู้ฟังจะรู้สึกว่าเสียงมีคามเร็วเป็น![]()
ดังนั้นความถี่ปรากฏเป็น
![]()
หรือ
----------------(90)
-------------------- (88)
ความถี่ของเสียงที่ผู้ฟัง
ได้ยิน (
)
ผู้ฟัง
เคลื่อนที่เข้าหา s ด้วยความเร็ว
ผู้ฟังจะรู้สึกว่าเสียงมรควมาเร็วเป็น
ดังนั้น ความถี่ปรากฏเป็น
-------------(91)
---------------------(89)
ในกรณีที่มีลมพัด
ความะเร็วของลม
จะทำให้เสียงเคลื่อนที่เร็วขึ้นหรือช้าลง
ถ้าลมพัดไปทางขวาด้วยความเร็ว![]()
จะได้เป็น
-----(92)
และ
-----------(93)
315 102, 315 103 ฟิสิกส์พื้นฐาน (ผศ.ณรงค์ พิศขุมทอง)
Suggestion and comment send to the
WEBMASTER
Maintained and Design by Electronics Laboratory,
Department of Physics, Faculty of Science,
Khonkaen University, Thailand.